
PDF Publication Title:
Text from PDF Page: 101
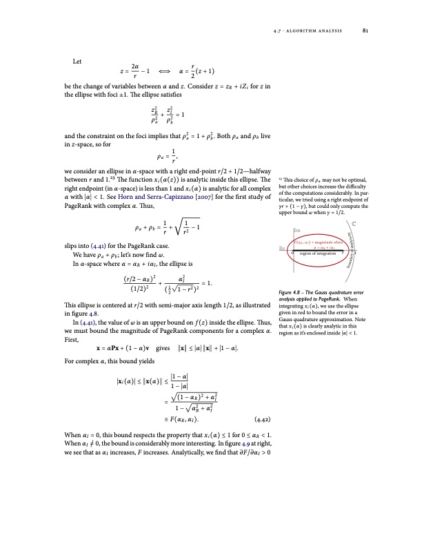
Let 2α r z= −1 ⇐⇒ α= (z+1) r2 be the change of variables between α and z. Consider z = zR + iZi for z in the ellipse with foci ±1. The ellipse satisfies z 2R + z 2I = 1 ρ2a ρb2 and the constraint on the foci implies that ρ2a = 1 + ρb2 . Both ρa and ρb live in z-space, so for 1 ρa= , r we consider an ellipse in α-space with a right end-point r/2 + 1/2—halfway between r and 1.23 The function xi (α(z)) is analytic inside this ellipse. The right endpoint (in α-space) is less than 1 and xi (α) is analytic for all complex α with ∣α∣ < 1. See Horn and Serra-Capizzano [2007] for the first study of PageRank with complex α. Thus, √ 11 ρa+ρb=+ 2−1 rr slips into (4.41) for the PageRank case. We have ρa + ρb; let’s now find ω. In α-space where α = αR + iαI, the ellipse is ( r / 2 − α R ) 2 α I2 +√ =1. (1/2)2 (12 1−r2)2 This ellipse is centered at r/2 with semi-major axis length 1/2, as illustrated in figure 4.8. In (4.41), the value of ω is an upper bound on f (z) inside the ellipse. Thus, we must bound the magnitude of PageRank components for a complex α. First, 23 This choice of ρa may not be optimal, but other choices increase the difficulty of the computations considerably. In par- ticular, we tried using a right endpoint of γr + (1 − γ), but could only compute the upper bound ω when γ = 1/2. Figure 4.8 – The Gauss quadrature error analysisappliedtoPageRank. When integrating xi (α), we use the ellipse given in red to bound the error in a Gauss quadrature approximation. Note that xi (α) is clearly analytic in this region as it’s enclosed inside ∣α∣ < 1. 4.7 ⋅ algorithm analysis 81 x=αPx+(1−α)v gives ∥x∥≤∣α∣∥x∥+∣1−α∣. For complex α, this bound yields √ ( 1 − α R ) 2 + α I2 =√ 1− αR2+αI2 ≡ F(αR,αI). ∣xi (α)∣ ≤ ∥x(α)∥ ≤ 1−∣α∣ ∣1 − α∣ When αI = 0, this bound respects the property that xi (α) ≤ 1 for 0 ≤ αR < 1. WhenαI =/0,theboundisconsiderablymoreinteresting.Infigure4.9atright, we see that as αI increases, F increases. Analytically, we find that ∂F/∂αI > 0 (4.42)PDF Image | ALGORITHMS FOR PAGERANK SENSITIVITY DISSERTATION
PDF Search Title:
ALGORITHMS FOR PAGERANK SENSITIVITY DISSERTATIONOriginal File Name Searched:
gleich.pdfDIY PDF Search: Google It | Yahoo | Bing
Cruise Ship Reviews | Luxury Resort | Jet | Yacht | and Travel Tech More Info
Cruising Review Topics and Articles More Info
Software based on Filemaker for the travel industry More Info
The Burgenstock Resort: Reviews on CruisingReview website... More Info
Resort Reviews: World Class resorts... More Info
The Riffelalp Resort: Reviews on CruisingReview website... More Info
| CONTACT TEL: 608-238-6001 Email: greg@cruisingreview.com | RSS | AMP |